Aprender a trabajar con límites es uno de los primeros grandes retos dentro del cálculo. Estos conceptos permiten analizar el comportamiento de una función cuando una variable tiende a un valor específico o al infinito, y son la base del análisis matemático moderno.
En esta guía práctica de Superprof Chile descubrirás qué significa el cálculo límites, cuáles son los métodos para resolver límites, y cómo enfrentarte a diferentes ejercicios de límites resueltos paso a paso. Con ejemplos claros y consejos, verás que dominar este tema es posible con práctica constante:
Pero si quieres ir realmente desde el comienzo, descubre más en nuestra guía introductoria completa sobre límites y derivaciones ¡aquí!
¿Qué es el cálculo de límites y por qué es importante en matemáticas?
El cálculo de límites es una de las bases del análisis matemático, ya que permite estudiar el comportamiento de una función cuando la variable se aproxima a un valor determinado. Su importancia radica en que es la puerta de entrada para comprender la continuidad, las asíntotas, las tasas de cambio y, en general, los fenómenos donde intervienen derivadas e integrales.
Sin este concepto, sería imposible evaluar procesos que tienden a valores infinitos o que presentan indeterminación.
Aplicación del concepto en análisis matemático
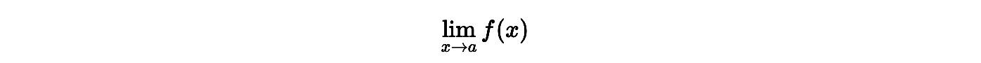
El límite describe el valor al que se acerca una función cuando la variable independiente se aproxima a un número determinado. En notación, se escribe así:

Esto significa “el valor al que tiende la función 𝑓(𝑥) cuando 𝑥 se aproxima a 𝑎”.
Sin este concepto sería imposible construir nociones como derivadas o integrales.
Relación del límite con la continuidad y el cambio
Un límite matemático permite evaluar el comportamiento de las funciones en puntos donde la curva podría romperse o no estar definida. Así podemos determinar continuidad, presencia de una asíntota o detectar cambios bruscos en un intervalo.
Cuándo se necesita calcular un límite
Se utiliza al estudiar indeterminaciones como 0/0 o ∞/∞
Y, al analizar funciones definidas a trozos, o al trabajar con sucesiones. También en física para describir velocidad instantánea y en economía para optimizar costos y beneficios.
Ahora: ¿Conoces las propiedades matemáticas de un límite?
Métodos más comunes para resolver límites
Existen distintas estrategias o reglas que podemos aplicar según el tipo de indeterminación o la forma de la función:
Sustitución directa
El primer paso es siempre calcular el límite sustituyendo el valor de la variable en la función. Si el resultado es un número real, ya tenemos la solución.
Factorización
Cuando aparece una indeterminación como 0/0, podemos resolver límites factorizando el numerador y el denominador, cancelando términos comunes y luego aplicando la evaluación directa.
Racionalización
Si la función incluye raíces, podemos multiplicar por el conjugado para simplificar. Así eliminamos la raíz en el numerador o denominador, lo que permite hallar el límite.
Dividir por el mayor grado
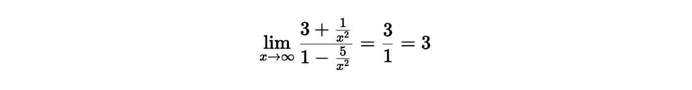
En límites al infinito, se recomienda dividir cada término por la mayor potencia del denominador. Esto simplifica la expresión y muestra la tendencia de la función.
Límites laterales
En ocasiones debemos evaluar la aproximación desde un solo lado: límite por la izquierda (left) o límite por la derecha (right). Esto es clave cuando una función es definida a trozos o presenta asíntotas verticales.
Guía paso a paso para resolver un ejercicio de límites
Resolver un límite implica tres fases fundamentales:
Identificación del tipo de límite
Primero debemos reconocer si se trata de un límite finito, al infinito, con indeterminación o lateral. Esto define el método a utilizar.
Aplicación del método más adecuado
Dependiendo de la situación, aplicamos sustitución, factorización, racionalización o división por mayor grado. Cada técnica permite eliminar la indeterminación y llegar a un valor concreto.
Verificación del resultado
Finalmente, comprobamos que el valor obtenido tenga sentido en el dominio de la función y que respete las propiedades del límite. En algunos casos, se recomienda usar una tabla de valores o una gráfica para confirmar la tendencia.
Por otro lado, ¿qué tanto sabes de las derivaciones matemáticas?
Ejercicios de límites resueltos
La mejor forma en la que podemos entender los cálculos ¡es practicando con ejercicios! Por eso, aquí veremos algunos ejemplos prácticos:
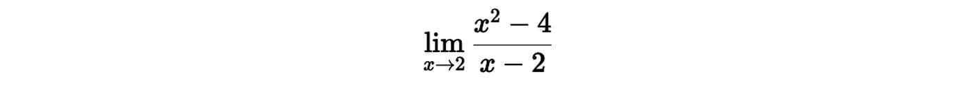
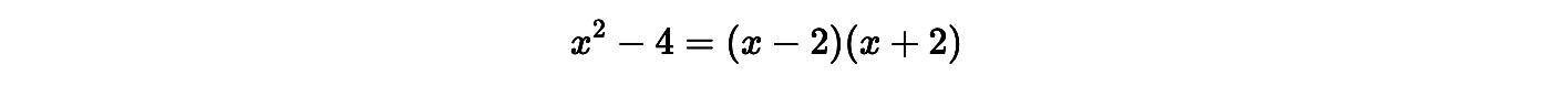
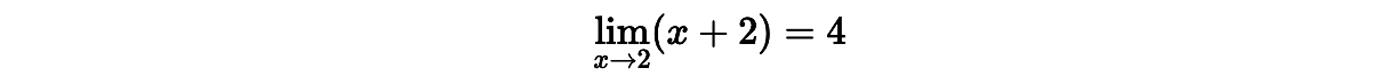
Ejercicio 1: límite con indeterminación 0/0

Primero, factorizamos el numerador:

Cancelamos con el denominador:

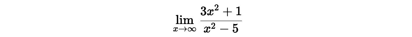
Ejercicio 2: límite con infinitos

Dividimos cada término por 𝑥2:

Ejercicio 3: límite con valor absoluto

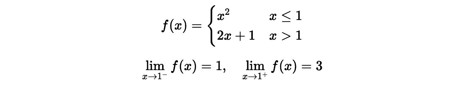
Ejercicio 4: función definida a trozos

Al no coincidir, el límite no existe en 𝑥=1.
Así que, ¡poco a poco! Comienza a practicar estos y más ejercicios. Prepárate para dominar el cálculo conociendo también cuáles son las reglas básicas de una derivación ¡aquí!
Consejos para evitar errores comunes al calcular límites
El cálculo de límites puede parecer mecánico, pero es fácil cometer errores si no se analizan bien las condiciones de cada ejercicio. Para resolver límites con seguridad, es clave tener presentes algunos puntos que suelen generar confusión:

No aplicar directamente las propiedades sin verificar condiciones
Aunque las reglas de suma, resta, producto o cociente de límites son muy útiles, no siempre se pueden usar de manera automática. Antes de aplicarlas, debemos asegurarnos de que los límites individuales existan y, en el caso de un cociente, que el denominador no sea cero. De lo contrario, se cae en una indeterminación que cambia totalmente el resultado.
Cuidado con los límites laterales distintos
Cuando una función se aproxima a valores diferentes según la variable tiende a un punto por la izquierda (left) o por la derecha (right), el límite general no existe. Este es un error común en funciones definidas a trozos o con asíntotas verticales. Siempre conviene calcular ambos límites laterales para confirmar si coinciden.
Verificar si se puede simplificar antes de usar métodos avanzados
Muchos problemas que parecen complicados al inicio pueden resolverse con pasos simples como factorizar, racionalizar o cancelar términos comunes en el numerador y el denominador. Solo si estas estrategias básicas no funcionan, se recomienda aplicar técnicas más avanzadas, como la regla de L’Hôpital o transformaciones con identidades trigonométricas (sen, cos).
Herramientas útiles para practicar el cálculo de límites
Dominar los ejercicios de límites no depende solo de entender la teoría, sino también de contar con herramientas que te permitan practicar, verificar resultados y afianzar tu razonamiento matemático. Hoy existen múltiples opciones que facilitan este proceso:
🧮 Calculadoras simbólicas online
Existen plataformas que permiten calcular límites paso a paso, mostrando cómo se llega a la solución. Son útiles para comprobar resultados, aunque siempre es recomendable intentar resolver el ejercicio manualmente antes de usarlas.
📱 Aplicaciones para resolver límites
En móviles y tablets puedes encontrar apps que no solo resuelven operaciones, sino que también incluyen teoría, ejemplos interactivos y simulaciones gráficas. Esto ayuda a comprender mejor conceptos como continuidad, asíntotas o límites infinitos.
💻 Cómo usar un calculador de límites sin perder el razonamiento matemático
La tecnología es un gran apoyo, pero no debe reemplazar el aprendizaje. Usar un calculador de límites debe servir para contrastar tu propio procedimiento y detectar errores, no para saltarse el razonamiento lógico detrás del resultado.
👨🏫 Clases de cálculo con Superprof Chile
Si necesitas reforzar tu comprensión, nada mejor que aprender con un tutor particular. En Superprof Chile puedes encontrar docentes especializados en cálculo y análisis matemático, con quienes podrás practicar límites, derivadas e integrales de forma personalizada. Esta opción combina la teoría con la práctica guiada, lo que acelera tu progreso y te da confianza al enfrentar cualquier tipo de problema. Además, puedes buscar «profesores matemáticas» en Santiago para clases presenciales o en línea.
Conclusión
¿Cómo integrar el cálculo de límites en tu estudio del análisis matemático?
El dominio de los límites es clave para avanzar hacia derivadas, integrales y otros temas del análisis. Conocer la definición, las propiedades y los métodos prácticos permite afrontar problemas complejos con seguridad. Si necesitas apoyo, puedes buscar el servicio «profesor matemáticas» dentro de nuestra plataforma.
Avanzar hacia temas como derivadas o continuidad
Después de aprender a resolver límites, el paso natural es comprender cómo se conectan con la continuidad, las asíntotas y el estudio de derivadas. Esto abre el camino al análisis de propiedades de funciones más avanzadas.
Síntesis del artículo
En esta guía de Superprof Chile vimos qué es el límite, cómo se conecta con el cambio y la continuidad, y los principales métodos para resolver límites: sustitución, factorización, racionalización, división por mayor grado y límites laterales. También revisamos ejemplos de ejercicios de límites resueltos paso a paso, errores comunes y herramientas como el calculador de límites para reforzar el aprendizaje.
Con práctica y apoyo constante, cualquier estudiante puede dominar los límites cálculo, avanzar con confianza en el análisis matemático y preparar el terreno para las derivadas e integrales.
¡Ya lo verás! Así que, anímate a tomar tu primera sesión gratis con nuestros superprofes.
Resumir con IA:









